
近日,顶刊Advanced Materials(IF:26.7)刊发了beat365平台唯一官网方鑫等人的论文“Supercoiled superelastic metallic metamaterials for high energy density and heavy-duty vibration mitigation”(具有高能密度和重载隔振能力的超螺旋超弹性全金属超材料)。

图1 超弹性超螺旋全金属超材料结构
超弹性材料能承受可恢复超大弹性变形,但超弹性此前仅能通过聚合物、橡胶、少数纤维材料或在纳米尺度实现,导致刚度、承载能力、环境适应性、可扩展性都较弱。力学/机械超材料有望产生自然材料难以实现的准静态和动态力学性能。能够同时具备高承载能力、高弹性储能极限、超弹性的“金属超材料”是能量吸收、冲击防护、减振隔振以及结构轻量化领域梦寐以求的目标,但在金属体系中同步实现高承载-高能量-超弹性仍然极具挑战,尤其是在宏观尺度,即便是方鑫等人最新发展的手性扭曲构型,采用金属制备宏观构型时,其可恢复应变也仅约5%。

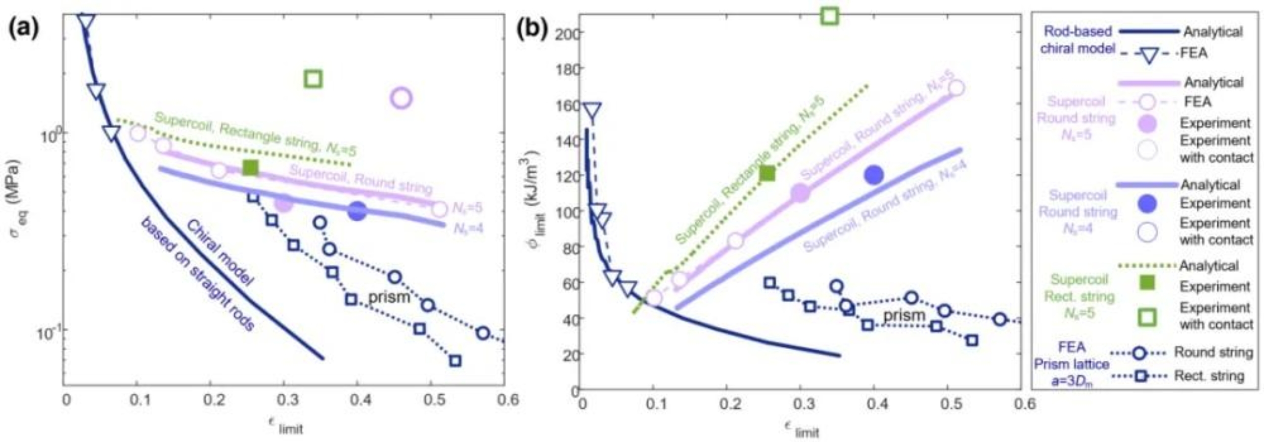
图2 不同超材料构型性能对比:(a)承载屈曲强度与极限应变的关系;(b) 承载能量密度与极限应变的关系。
除金属本身强度的限制外,该论文根据解析模型与数值计算发现:其主要瓶颈源于超材料结构的构造方式——即基于杆、梁或壳等基元构建晶格结构,这类构造方式具有内禀的“尺度约束律”:使基元变得“细长”带来的弹性变形能力提升速度(r1)远远小于超材料的屈曲承载强度与极限能量密度的下降速度(r3),如图2蓝线所示。要突破这些限制,亟需对构造方式进行根本性变革。
对此,该论文提出一种受DNA启发的超螺旋设计原理,如图1所示:基于手性扭曲原理,以螺旋基元替代传统杆件,使超材料元胞在压缩下发生全局扭转屈曲变形,构成多级超螺旋结构。这种超螺旋构型同步提升了承载能力和能量存储能力,且有效缓解了应力集中,实现了高达50%的可恢复应变,使屈曲强度提升至传统密排棱柱晶格的3倍,能量密度提升4倍。
该论文尝试了多种加工工艺制备了全金属样品,采用循环加载下验证了其高能力学特性。该文修正了方鑫此前建立的非线性扭曲理论,使其更精确、适用于超大变形的扭转屈曲和超螺旋体,依此开展了深入研究,阐明了超螺旋的性能提升机理:全局扭转提升强度与能量密度、局部曲率则确保超弹性行为。
在此基础上,该文发明了手性准零刚度隔振器:该隔振器在维持超低共振频率(1-2Hz)的同时,承载能力比现有设计高出100-1000倍,成功弥合了高承载能力与低频隔振之间的关键鸿沟,并突破了传统弹簧隔振器的理论极限,如图3所示。

图3 手性超螺旋准零刚度隔振器:(a) 实验图;(b) 不同承载下的振动传递率;(c) 不同隔振器的固有频率与承载力密度之间的关系
这项研究建立了通用、可扩展且易于制造的超弹高能金属超材料设计原理,为振动抑制、能量吸收和防护结构等先进应用开辟了全新路径。beat365平台唯一官网智能科学学院方鑫研究员是论文第一兼通讯作者,研究工作得到学校自主科研基金颠覆性技术项目、国家自然科学基金专项项目等资助。方鑫研究员发表SCI论文近50篇,其中,以第一作者在Nature、Nature Materials、Advanced Materials、Nature Communications等高水平期刊发表SCI论文19篇。